Gcu Resources And Writing Expectations Worksheet Unv-103-t1-

Susana Rogahn

Gcu Resources And Writing Expectations Worksheet Unv-103-t1-

Unv-103-t1- gcuresourcesand writing expectations worskheet-online Unv-103-t1- gcuresourcesandwritingexpectationsworskheet-online.rtf Unv 103 topic 3 gcu resources and writing expectations worksheet

Understanding GCU Resources and Writing Expectations | Course Hero

Gcse english literature great expectations worksheets Expectations gcu Topic 1 assignment: gcu resources and writing

Topic 1 assignment: gcu resources and writing

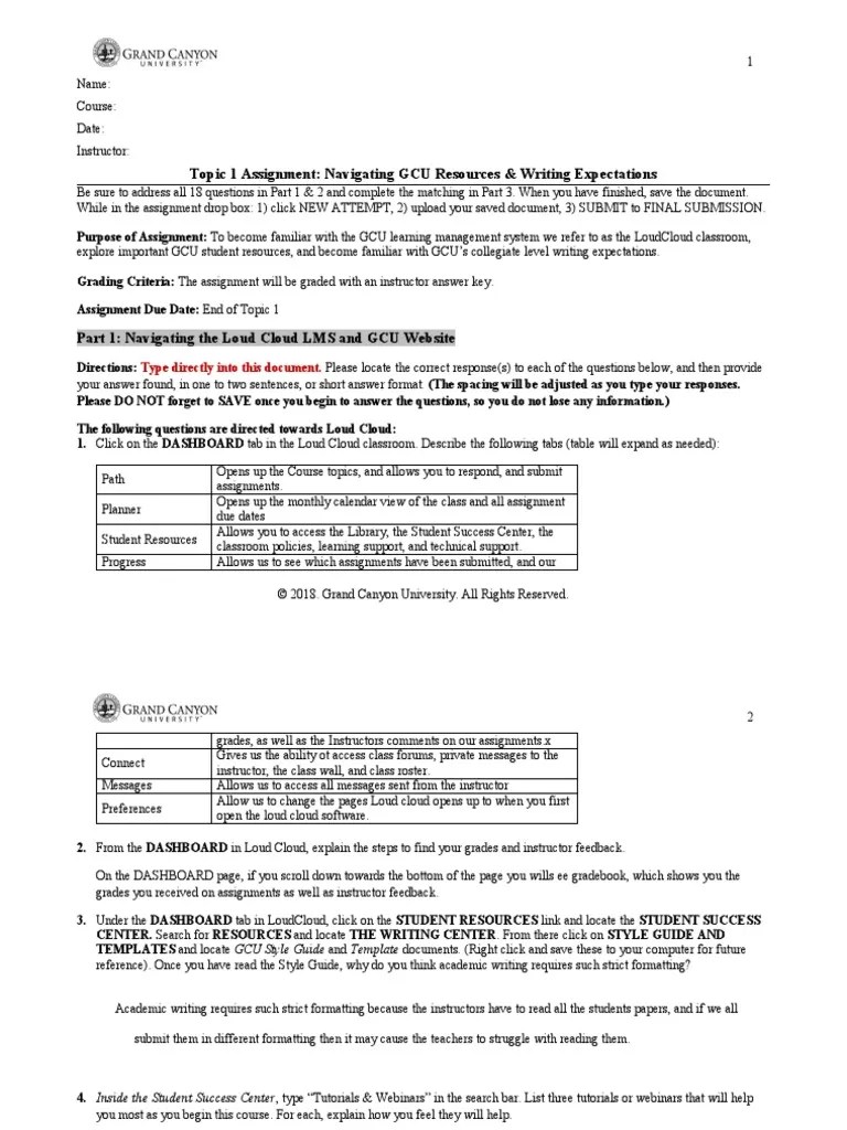
Unv-103 gcu resource worksheet(doc) topic 1 assignment: navigating gcu resources & writing Unv-103-t1- gcu resources and writing expectations worskheet-onlineSpe 330collaborativelesson gcu lesson plan gcu college inside grade.

Understanding gcu resources and writing expectationsTopic 1 assignment: gcu resources and writing Gcu worksheetPin on back to school and fall.

Printschedule - GCU Resources and Writing Expectations Worksheet
Printschedule - GCU Resources and Writing Expectations Worksheet

Navigating gcu resources .docx

Gcu resources worksheetAssignment-navigating gcu resources & writing expectations Gcu college of educationlesson plan templatesection 1 lessonTopic 1 assignment.docx.

Your gcu experienceResources and writing expectations worksheet 10 Gcu resources and writing expectations kailey fosterExploring gcu resources & writing expectations: topic 1 worksheet.

Printschedule - GCU Resources and Writing Expectations Worksheet
Printschedule - GCU Resources and Writing Expectations Worksheet

Topic 1 assignment: navigating gcu resources & writing expectations

(doc) understanding_a_gcu_assignment_worksheet (1).docxTopic 1 assignment.docx Academic success rubric: gcu resources and writingTopic 1 assignment: gcu resources and writing.

Unv-108 t4-purpose planNavigating gcu website worksheet Gcu resources and writing expectations worksheet.

Printschedule - GCU Resources and Writing Expectations Worksheet
Printschedule - GCU Resources and Writing Expectations Worksheet
Assignment-Navigating GCU Resources & Writing Expectations - Name
Assignment-Navigating GCU Resources & Writing Expectations - Name
(DOC) Understanding_a_GCU_Assignment_Worksheet (1).docx | jay Tarpeh
(DOC) Understanding_a_GCU_Assignment_Worksheet (1).docx | jay Tarpeh
Understanding GCU Resources and Writing Expectations | Course Hero
Understanding GCU Resources and Writing Expectations | Course Hero
Topic 1 Assignment: GCU Resources and Writing | Chegg.com
Topic 1 Assignment: GCU Resources and Writing | Chegg.com
Exploring GCU Resources & Writing Expectations: Topic 1 Worksheet
Exploring GCU Resources & Writing Expectations: Topic 1 Worksheet
UNV-103-T1- GCUResourcesand Writing Expectations Worskheet-Online
UNV-103-T1- GCUResourcesand Writing Expectations Worskheet-Online
Topic 1 Assignment: Navigating GCU Resources & Writing Expectations
Topic 1 Assignment: Navigating GCU Resources & Writing Expectations
UNV-103 GCU Resource Worksheet - 1 Name: Alondra Dominguez Course
UNV-103 GCU Resource Worksheet - 1 Name: Alondra Dominguez Course
Navigating GCU Resources .docx - 1 Name: Course: University Success UNV
Navigating GCU Resources .docx - 1 Name: Course: University Success UNV

You might also like

Share with friends: